聯系方式

地 址:浙江省永嘉縣甌北鎮黃田工業區
電 話:0577-67980883
手 機:13868633152
郵 箱:278865168@qq.com

在線留言

加油機新聞

您現在的位置:首頁 > 新聞中心 > 加油機新聞
燃油加油機檢定誤差曲線繪制及應用
作者:銳嘉 發布于:2016/5/26 13:29:04 點擊量:

在JJG443-2006《燃油加油機》檢定規程中,相對誤差是檢定人員判斷加油機是否合格的主要依據。但是,由于相對誤差需經復雜換算,檢定人員難以依靠標準器指示體積值對一些臨界點作出準確的判斷,臨界點現場誤判率相對較高。本文介紹的EV×104-(tJ-tB)曲線的繪制,能夠幫助檢定人員有效地減少臨界點現場誤判。

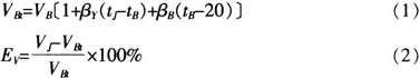
JJG443-2006要求,在-25℃~+55℃的范圍內,其付油體積相對誤差應控制在±0.3%。油品燃料是熱敏感物質,隨著周圍環境溫度的變化,體積也會隨之變化。雖然正常環境溫度變化不至于造成兩相流,但是溫度變化對被測油品體積的影響不容忽視。對于汽油來說,1℃的溫差意味著0.12%的體積誤差,1.5℃的溫差對計量準確度的影響將達0.18%。目前,我國在用的燃油加油機是一種體積計量器具,在付油過程中并未對溫度的影響進行修正。JJG443-2006充分考慮了溫度對油品的影響,把實際體積換算成標準體積,然后再進行相對誤差的計算,其公式如下:

VBt=VB〔1+βY(tJ-tB)+βB(tB-20)〕(1)

1005112ZA.jpg

式中:VBt——量器在tJ℃下給出的實際體積,L;VB——量器在20℃下的標準容積,L;VJ——加油機在tJ℃下指示的體積值;βB——量器材質的體積膨脹系數,不銹鋼:50×10-6/℃,碳鋼:33×10-6/℃;βY——檢定介質的體積膨脹系數,汽油:12×10-4/℃,柴油:9×10-4/℃;tJ——加油機內流量測量變換器輸出的油溫(由油槍口處油溫代替);tB——量器內的油溫;EV——加油機的體積相對誤差,%。

把式(1)代入式(2),化簡得到式(3):

1005112ZB.jpg

設Δt=tJ-tBA=1+βB(tB-20)、1005112ZC.jpg

則式(3)可轉化為

1005112ZD.jpg

由式(4)可以看出,EVk、ΔtA的函數,通過控制變量kA能夠把EV轉化為Δt的函數。下文以VJ=100.00L、VB=99.70L、Δt∈[-5,+5]、tB=20℃的柴油為例進行介紹。

根據JJG443-2006可知,不銹鋼標準器的體積膨脹系數βB=50×10-6/℃、柴油體積膨脹系數βY=9×10-4/℃。根據式(1)、式(2)可以得出表1中的數據。

100511201.jpg

表1tB=20℃時的加油機檢定數據

根據表1數據繪制EV×104-(tJ-tB)曲線,如圖1所示。

100511202.jpg

圖1tB=20℃時的EV×104-(tJ-tB)曲線

同理可得,VB為100.00L、100.30L,tB=20℃時的曲線,如圖2所示。

100511301.jpg

圖2VB為100.00L、100.30L時的比較曲線圖

由圖2可以看出,當超出誤差合格上、下限時,該次測量結果為不合格。

以一次測量介紹EV×104-(tJ-tB)曲線的讀數方法。假設某次測量采用100L標準器、VB=99.70L、tB=20℃、tJ=17.5℃,根據數據可以從圖2讀出EV×104=52,如圖3所示。

100511302.jpg

圖3tB=20℃時,EV×104-(tJ-tB)曲線應用圖例

在現實中,由于每次測量的VBtB均存在差異,并不能保證測量結果均會出現在所繪制的EV×104-(tJ-tB)曲線上。下文以柴油(不銹鋼材質標準量器)為例介紹如何修正該情況下的誤差。

由式(4)可以看出,tB變化對圖讀結果的影響僅體現在對量A的影響。通過繪制不同tBEV×104-(tJ-tB)曲線就能有效地把tB對圖讀結果的影響控制在可接受的范圍內。在某條件下僅量器內的油溫不同,tB溫度下的相對誤差值為BtB1溫度下的相對誤差值為B1,當tB1=tB±0.5時,|B1-B|=0.04%。

為了增加tB溫度下EV×104-(tJ-tB)曲線的通用性,引入溫度校正量α。把[tB-0.5,tB+0.5]區間分為等量10份,每份溫度校正分量為α1。其校正量由式(5)~式(7)計算:

1005112ZE.jpg

n=10×(tB1-tB)nZ(6)

α=n·α1(7)

由式(1)和式(2)可以明顯地發現,VB直接決定了相對誤差的大小,為增加VBEV×104-(tJ-tB)曲線的通用性,引入體積校準量β。以100L標準器為例介紹如何確定β。JB-A型100L標準器其可讀數區間為[99.50,100.60]。在相同外界條件下:

EVmax=EV(99.50)-EV(100.60)=1.1%

把[99.50,100.60]區間等分為110份,每份的體積校正分量β1

1005112ZF.jpg

n1=100×(VB-VB1)n1Z(9)

β=n1·β1(10)

因而任意點的相對誤差為

EV=EV(tBVB)+α+β(11)

例如:某次測量采用100L標準器、VB1=99.74L、tB1=20.4℃、tJ=17.5℃,由圖3可以得出:

VB=99.70L、tB=20℃、tJ=17.5℃時,|ΔV|min=|VB-VB1|min= |99.70-99.74|=0.04

EV(tBVB)=EV(20,99.70)=0.52%(應選擇ΔV最小的曲線讀數)

由式(5)~式(11)可以得出:

α=n·α1=10×0.4×0.008%=0.032%

β=n1·β1=100×(99.70-99.74)×0.01%=-0.04%

EV=EV(tBVB)+α+β=0.52+0.032-0.04=0.512%

同理,可以得出其他tBVB下的EV值。

在實際應用中,應根據使用目的繪制不同tBEV×104-(tJ-tB)曲線。如果僅為粗略判斷,只需繪出臨界狀態的曲線;如果要得到較精確的估算值,需對αβ有效數值重新估算,并繪制較精細的等量器內油溫的EV×104-(tJ-tB)曲線。汽油曲線的繪制與柴油的類似。

作者單位【福建省泉州市惠安縣標準計量所】




上一篇:標準金屬量器使用中的注意事項

下一篇:加油機常見計量問題的原因分析 及解決辦法

在線客服

聯系電話
  • 0577-67980883
  • 聯系手機
  • 13868633152